币安BTCDOM指数( BTCDOM Index)是一种反映比特币市场主导表现的加密货币价格指数。BTCDOM指数是交易者可快速了解比特币相对于更广泛的加密货币市场价值的指标。一般的BTC市场主导指标(市占率)范围区间在0~100%,但BTCDOM指数没有理论上限,更适合衍生品交易。它以指数成分资产作为计价资产的BTC价格进行计算,例如BTC/ETH、BTC/BNB、BTC/ADA等。
如何使用BTCDOM指数?
BTCDOM指数提供对市场的洞察,可用来判断BTC市值表现相对其它加密货币而言是否更有优势。简单来说,该指数衡量的是比特币相对于其它加密货币的市值表现。
当其它加密货币相对于BTC获得更大市场份额时,BTCDOM指数就减少价值。反之,当BTC相对于其它加密货币获得更大市场份额时,BTCDOM指数价值将增加。除此以外,如果比特币价格下跌,但其它加密货币市场保持类似的跌幅,那么BTC的主导地位可能会保持不变。
1. 指数细则

2. 指数基点
指数基点为1000。
3. 样本和成分
3.1 样本空间
指数成分样本空间包括Binance.com上架的市值排名前20的加密货币,不包括BTC和稳定币。
3.2 成分选取
所有在币安现货或合约交易市场里的加密货币将优先纳入指数。样本将按排名以市值作为参照。
4. 指数计算
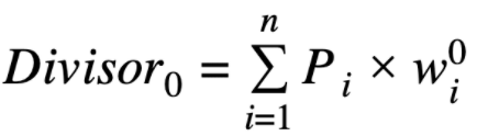
BTCDOM指数以其成分的加权平均价格计算。BTCDOM指数所用的价格不同于其它以成分价格计算的指数(成分价格计价资产与指数本身的计价资产相同),该指数成分价格以成分加密货币作为计价资产,例如:BTC/ETH、BTC/BNB、 BTC/ADA等。
公式为:

其中n为成分计数,pi为该成分的最新价格i(以指数成分资产计价),wit为样本权重i对应最近报告时间t,除数t是最新的稳定除数,保证了指数成分股/权重的持续变化,并且指数价格只受成分价格变化的影响。基期的除数是:

而在报告时间t时:

其中nt为报告期t的成分计数,nt-1是前次报告期的成分计数。
权重由权重因子(权重将确保再平衡时刻指数点位维持不变)来计算:

BTCDOM指数的加权方法为市值加权,如下计算加权因子:

市值i (再平衡期间)的股份市值i,所有的指标基于指数份额。
以下是如何计算BTCDOM指数的参考示例:

5. 德仓
5.1 定期进行调仓
指数成分/权重将每周进行调仓,来反馈最新市场的变化。
5.1 特别调整
当一个或多个成分股面临剧烈变化(如退市或无有机量),当认为需要进行特别调整时,有两种调整方法:排除并重新计算权重(和除数t),排除并填充来自备用列表及调仓。
5.2 硬分叉/空投/匹配调整
考虑到加密货币价格指数(基于区块链)的特殊性,硬分叉/空投/映射将按照以下规则进行:
当发生软分叉或硬分叉时,无需调整,因其不会产生新代币。
当发生新币硬分叉/空投,新币应反应在其原有的组成的权重指标,并在下一期的再平衡时由于不满足样本选择标准而被排除。
组成的加密货币空投/映射匹配调整而更换新代币时,特别是如反向分割发生时,该指数取样将调整为新代币,按相应比例调整权重。
币安是做什么的:
币安是全球最大交易所,币安国际名称为binance,它主要业务有(币安钱包、币安智能链、币安矿池)等,目前币安也是国内最大的加密货币交易平台,在币安交易所可以快速的购买当前热门加密货币:币安币、比特币、狗狗币、shib等。







